Sensors for Buck Converter Design
2024-09-18 | By Jack Hannum
Two more components need to be selected for the Arduino/MBed Power Supply Design: an output voltage sensor and an inductor current sensor. The output of these sensors is necessarily dependent on the controller that will use the signals. Based on our synchronous topology, ~15V input and 3.3V output, and the 10V gate-source threshold voltage of the MOSFETs, the Analog Devices LTC7801 will work. This chip requires both inductor current and output voltage feedback. The chip's datasheet tells us how the chip wants these signals presented to it.
Current Sensing
The inductor current can be sensed by adding a small resistor, a current-sense resistor, in series with the inductor, between it and the output capacitor. The LTC7801 has two pins, Sense+ and Sense-, that measure the voltage across the resistor to determine the current.

The value of the sense resistor determines the maximum average inductor current that the regulator will allow. We want 0.5A nominal with 0.05A ripple through the inductor at most, so the sense resistor should be sized to be

Vsense(max) comes from the datasheet and is 66mV. Rsense should thus be 120mΩ.
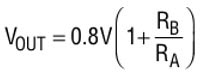
Voltage Sensing
The output voltage can be sensed using a resistor divider between the output rail and ground, with Vfb connected to the center point. The datasheet provides an equation to determine the two resistors, Ra and Rb, of the divider to get the chip to regulate to a desired output voltage. Rb is the resistor connected to the output rail (the 511kΩ above), and Ra is connected to ground (the 36.5kΩ above).

We want an output voltage of 3.3V, so the ratio of our resistances must be

or 3.125. To minimize the power dissipated in the voltage-sensing resistor divider, the resistance of each component should be large. For simplicity, Rb = 312.5kΩ, Ra = 100kΩ.
We've now provided our control chip with the means to read both output voltage and inductor current. Most importantly, the signals are in a format the controller can understand and can use to ensure stable operation. The signals were provided using a current sense resistor and an output voltage divider network. The controller will use these signals to switch the converter such that a constant 3.3V output to our microcontroller is maintained.

